計算問題を解くための基礎、其の三。指数の計算です。
無線従事者国家試験では、k(キロ)、M(メガ)、G(ギガ)、m(ミリ)、μ(マイクロ)、p(ピコ)などの計算が必須となりますので、しっかりとその計算法則を身につけましょう。
(更新日 2025年1月10日)
数学の基礎 ③
- 指数の計算
同じ数や同じ記号がいくつか掛け算された数を累乗(るいじょう)と呼び、その個数を指数(しすう)という。例えば、aが3個掛け算されていると、

と表す。これをa の3 乗という。
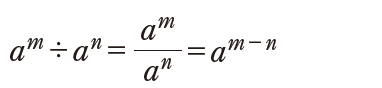
指数計算の法則を次に示す。











等式の分母から分子に移すときは、指数の符号が-になる。






電気の計算で使われる指数は、10の乗数として使われることが多い。1,000を10³として表すが、2,000 は2×10³と表す。このとき、2を仮数(かすう)という。

仮数と指数を含む計算は、仮数と指数のそれぞれを計算する。
いかがでしたか?指数の計算も基礎ですが、しっかりと理解していないと正しい数値を求めることができません。確実に計算できるようにしておきましょう!